Home
Corporate
Services
Products
Contact
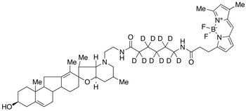
Bodipy Cyclopamine-d10
Molecular Diagram
Quick Enquiry
Captcha Code
Submit
Isotope labelled
CAT Number :
BO-21599
CAS Number :
NA
Synonyms:
Molecular Formula :
C₄₉H₆₀D₁₀BF₂N₅O₄
Molecular Weight:
327.23
Apearance:
No Data Available
Purity:
>98%
Storage Condition:
No Data Available
Inventory Status:
Please Enquire
Related Results
Cyclopamine : Isotope labelled
Cyclopamine : Metabolites