Home
Corporate
Services
Products
Contact
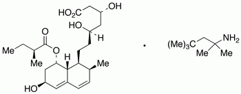
Pravastatin 1,1,3,3-Tetramethylbutylamine
Molecular Diagram
Quick Enquiry
Captcha Code
Submit
metabolite
CAT Number :
BO-38144
CAS Number :
151006-14-3
Synonyms:
[1S-[1α(βS*,δS*),2α,6α,8β(R*),8aα]]-1,2,6,7,8,8a-Hexahydro-β,δ,6-trihydroxy-2-methyl-8-(2-methyl-1-oxobutoxy)-1-naphthaleneheptanoate 2,4,4-Trimethyl-2-pentanamine;
Molecular Formula :
C₃₁H₅₅NO₇
Molecular Weight:
327.23
Apearance:
No Data Available
Purity:
>98%
Storage Condition:
No Data Available
Inventory Status:
Please Enquire
Related Results
Pravastatin : Working Standard
Pravastatin : Isotope labelled
Pravastatin : Metabolites