Home
Corporate
Services
Products
Contact
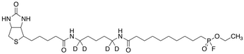
FP-Biotin-d4
Molecular Diagram
Quick Enquiry
Captcha Code
Submit
Isotope labelled
CAT Number :
BO-64326
CAS Number :
1219356-78-1
Synonyms:
[10-[[5-[[5-[(3aS,4S,6aR)-Hexahydro-2-oxo-1H-thieno[3,4-d]imidazol-4-yl]-1-oxopentyl]amino]pentyl-d4]amino]-10-oxodecyl]phosphonofluoridic Acid Ethyl Ester;
Molecular Formula :
C₂₇H₄₆D₄FN₄O₅PS
Molecular Weight:
327.23
Apearance:
No Data Available
Purity:
>98%
Storage Condition:
No Data Available
Inventory Status:
Please Enquire
Related Results
Biotin : Isotope labelled
Biotin : Metabolites